Given the root of a binary tree, check whether it is a mirror of itself (i.e., symmetric around its center).
Example 1:

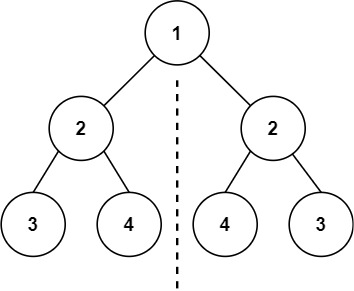
Input: root = [1,2,2,3,4,4,3]
Output: true
Example 2:

Input: root = [1,2,2,null,3,null,3]
Output: false
public boolean isSymmetric(TreeNode root) {
return root==null || isSymmetricHelp(root.left, root.right);
}
private boolean isSymmetricHelp(TreeNode left, TreeNode right){
if(left==null || right==null)
return left==right;
if(left.val!=right.val)
return false;
return isSymmetricHelp(left.left, right.right) && isSymmetricHelp(left.right, right.left);
}
Time: O(N) Space: O(H)