Given the root of a binary tree, return its maximum depth.
A binary tree’s maximum depth is the number of nodes along the longest path from the root node down to the farthest leaf node. ->給定一個二元樹並找到它的最大深度,最大深度是指從最上層節點至最下層節點之間所經過的節點數。
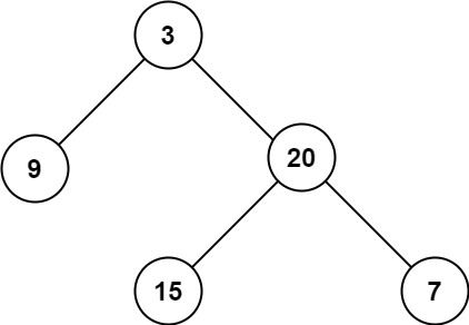
Example 1:

Input: root = [3,9,20,null,null,15,7]
Output: 3
Example 2:
Input: root = [1,null,2]
Output: 2
class Solution {
public int maxDepth(TreeNode root) {
if(root==null){
return 0;
}
return 1+Math.max(maxDepth(root.left),maxDepth(root.right));
}
}
Time complexity: O(n) Space complexity: O(n)
class Solution {
public int maxDepth(TreeNode root) {
if(root == null) {
return 0;
}
Queue<TreeNode> queue = new LinkedList<>();
queue.offer(root);
int count = 0;
while(!queue.isEmpty()) {
int size = queue.size();
while(size-- > 0) {
TreeNode node = queue.poll();
if(node.left != null) {
queue.offer(node.left);
}
if(node.right != null) {
queue.offer(node.right);
}
}
count++;
}
return count;
}
}