Given two integer arrays preorder and inorder where preorder is the preorder traversal of a binary tree and inorder is the inorder traversal of the same tree, construct and return the binary tree.
Example 1:

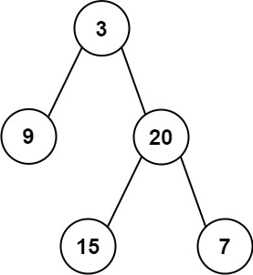
Input: preorder = [3,9,20,15,7], inorder = [9,3,15,20,7]
Output: [3,9,20,null,null,15,7]
Example 2:
Input: preorder = [-1], inorder = [-1]
Output: [-1]
class Solution {
public TreeNode buildTree(int[] preorder, int[] inorder) {
HashMap<Integer, Integer> map = new HashMap<>();
for (int i = 0; i < inorder.length; i++){
map.put(inorder[i], i);
}
return helper(preorder, inorder, 0, 0, inorder.length - 1, map);
}
private TreeNode helper(int[] preorder,
int[] inorder,
int preStart,
int inStart,
int inEnd,
HashMap<Integer, Integer> map){
if(preStart >= preorder.length || inStart > inEnd) return null;
TreeNode root = new TreeNode(preorder[preStart]);
int rootIndex = map.get(preorder[preStart]);
root.left = helper(preorder, inorder, preStart+1, inStart, rootIndex - 1, map);
root.right = helper(preorder, inorder, preStart + rootIndex - inStart + 1, rootIndex + 1, inEnd, map);
return root;
}
}
Time: O(n) Space: O(n)