Given an integer array nums where the elements are sorted in ascending order, convert it to a height-balanced binary search tree.
Example 1:

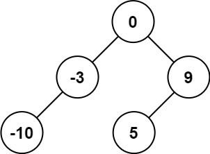
Input: nums = [-10,-3,0,5,9]
Output: [0,-3,9,-10,null,5]
Explanation: [0,-10,5,null,-3,null,9] is also accepted:

Example 2:

Input: nums = [1,3]
Output: [3,1]
Explanation: [1,null,3] and [3,1] are both height-balanced BSTs.
class Solution {
public TreeNode sortedArrayToBST(int[] nums) {
if(nums.length ==0) return null;
return constructBST(nums, 0, nums.length-1);
}
public TreeNode constructBST(int[]nums, int left, int right){
if(left>right) return null;
int midpoint = left + (right -left)/2; //找中間點index
TreeNode node = new TreeNode(nums[midpoint]);
node.left = constructBST(nums, left, midpoint-1);
node.right = constructBST(nums, midpoint+1, right);
return node;
}
}
Time: O(log n)
Space: O(n)