Given the root of a binary tree and an integer targetSum, return true if the tree has a root-to-leaf path such that adding up all the values along the path equals targetSum.
A leaf is a node with no children.
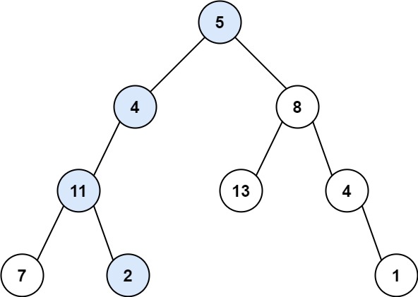
Example 1:

Input: root = [5,4,8,11,null,13,4,7,2,null,null,null,1], targetSum = 22
Output: true
Explanation: The root-to-leaf path with the target sum is shown.
Example 2:
Input: root = [1,2,3], targetSum = 5
Output: false
Explanation: There two root-to-leaf paths in the tree:
(1 --> 2): The sum is 3.
(1 --> 3): The sum is 4.
There is no root-to-leaf path with sum = 5.
Example 3:
Input: root = [], targetSum = 0
Output: false
Explanation: Since the tree is empty, there are no root-to-leaf paths.
public class Solution {
public boolean hasPathSum(TreeNode root, int sum) {
if(root == null) return false;
if(root.left == null && root.right == null && sum - root.val == 0) return true;
return hasPathSum(root.left, sum - root.val) || hasPathSum(root.right, sum - root.val);
}
}
Time: O(n) Space: O(H)
public class Solution {
public boolean hasPathSum(TreeNode root, int sum) {
// iteration method
if (root == null) {return false;}
Stack<TreeNode> node_stack = new Stack<>();
Stack<Integer> sum_stack = new Stack<>();
node_stack.push(root);
sum_stack.push(sum-root.val);
while(!node_stack.isEmpty()){
TreeNode current_node = node_stack.pop();
int current_sum = sum_stack.pop();
if(current_node.left==null && current_node.right==null && current_sum ==0){
return true;
}
if(current_node.left!=null){
node_stack.push(current_node.left);
sum_stack.push(current_sum-current_node.left.val);
}
if(current_node.right!=null){
node_stack.push(current_node.right);
sum_stack.push(current_sum-current_node.right.val);
}
}
return false;
}
}