Given the head of a linked list, return the list after sorting it in ascending order.
Example 1:

Input: head = [4,2,1,3]
Output: [1,2,3,4]
Example 2:

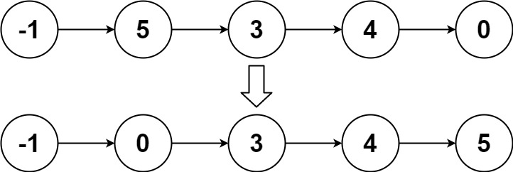
Input: head = [-1,5,3,4,0]
Output: [-1,0,3,4,5]
Example 3:
Input: head = []
Output: []
class Solution {
public ListNode sortList(ListNode head) {
if(head ==null || head.next ==null) return head;
ListNode temp = head;
ListNode slow = head;
ListNode fast = head;
while (fast != null && fast.next != null){
temp = slow;
slow = slow.next;
fast = fast.next.next;
}
temp.next = null;
ListNode left_side = sortList(head); //left_side: head->...->temp
ListNode right_side = sortList(slow); //right_side: slow->...fast
return merge(left_side, right_side);
}
public ListNode merge(ListNode l1, ListNode l2){
ListNode sorted_temp = new ListNode(0);
ListNode current_node = sorted_temp;
while(l1!= null && l2 != null){
if(l1.val < l2.val){
current_node.next = l1;
l1 = l1.next;
} else{
current_node.next = l2;
l2 = l2.next;
}
current_node = current_node.next;
}
//當另外一個list為null,直接接完
if(l1!= null){
current_node.next = l1;
l1 = l1.next;
}
if(l2!= null){
current_node.next = l2;
l2 = l2.next;
}
return sorted_temp.next;
}
}
Time: O(n log n) Space: O(n)