Given the root of a binary tree, invert the tree, and return its root.
Example 1:

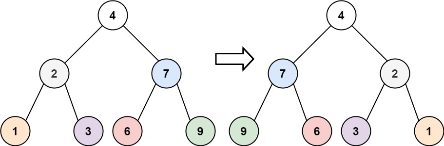
Input: root = [4,2,7,1,3,6,9]
Output: [4,7,2,9,6,3,1]
Example 2:

Input: root = [2,1,3]
Output: [2,3,1]
Example 3:
Input: root = []
Output: []
class Solution {
public TreeNode invertTree(TreeNode root) {
LinkedList<TreeNode> q = new LinkedList<TreeNode>();
if(root != null){
q.add(root);
}
while(!q.isEmpty()){
// Dequeue front node
TreeNode temp = q.poll();
// Enqueue left child of the popped node
if(temp.left != null)
q.add(temp.left);
// Enqueue right child of the popped node
if(temp.right != null)
q.add(temp.right);
// 左右互換
TreeNode curr = temp.left;
temp.left = temp.right;
temp.right = curr;
}
return root;
}
}
Time Complexity : O(n) Space Complexity : O(n)

class Solution {
public TreeNode invertTree(TreeNode root) {
if (root == null) return null;
TreeNode left = invertTree(root.left);
TreeNode right = invertTree(root.right);
root.left = right;
root.right = left;
return root;
}
}