Given the root of an n-ary tree, return the postorder traversal of its nodes’ values.
Nary-Tree input serialization is represented in their level order traversal. Each group of children is separated by the null value (See examples)
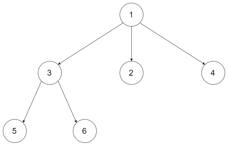
Example 1:

Input: root = [1,null,3,2,4,null,5,6]
Output: [5,6,3,2,4,1]
Example 2:

Input: root = [1,null,2,3,4,5,null,null,6,7,null,8,null,9,10,null,null,11,null,12,null,13,null,null,14]
Output: [2,6,14,11,7,3,12,8,4,13,9,10,5,1]
class Solution {
public List<Integer> postorder(Node root) {
List<Integer> res = new ArrayList<>();
if (root == null) return res;
postorder(root, res);
return res;
}
private void postorder(Node node, List<Integer> res) {
for (Node c : node.children) {
postorder(c, res);
}
res.add(node.val);
}
}
Time: O(n)
Space: O(h)