You are given the root of a binary search tree (BST) and an integer val.
Find the node in the BST that the node’s value equals val and return the subtree rooted with that node. If such a node does not exist, return null.
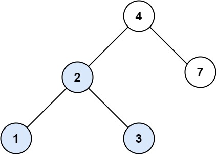
Example 1:

Input: root = [4,2,7,1,3], val = 2
Output: [2,1,3]
Example 2:
Input: root = [4,2,7,1,3], val = 5
Output: []
class Solution {
public TreeNode searchBST(TreeNode root, int val) {
if ( root==null) return root;
if(root.val == val) return root;
if(val < root.val){
return searchBST(root.left, val);
}else{
return searchBST(root.right, val);
}
}
}
Time: O(log n) Space: O(1)