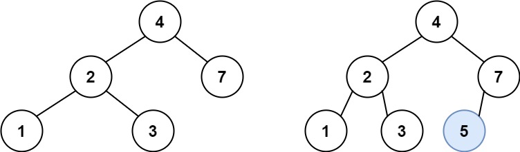
Example 1:

Input: root = [4,2,7,1,3], val = 5
Output: [4,2,7,1,3,5]
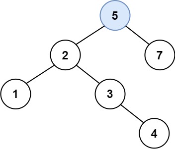
Explanation: Another accepted tree is:

Example 2:
Input: root = [40,20,60,10,30,50,70], val = 25
Output: [40,20,60,10,30,50,70,null,null,25]
Example 3:
Input: root = [4,2,7,1,3,null,null,null,null,null,null], val = 5
Output: [4,2,7,1,3,5]
class Solution {
public TreeNode insertIntoBST(TreeNode root, int val) {
if(root == null) return new TreeNode(val);
TreeNode current_node = root;
while(true){
if(current_node.val <= val){
if(current_node.right != null ){
current_node = current_node.right;
} else{
current_node.right = new TreeNode(val);
break;
}
}else{
if(current_node.left != null ){
current_node = current_node.left;
} else{
current_node.left = new TreeNode(val);
break;
}
}
}
return root;
}
}
Time: O(log n) Space: O(1)